[Day 99] XCS224W: ML with Graphs: Theory of GNNs

 Hello :) 
Today is Day 99!


A quick summary of today:


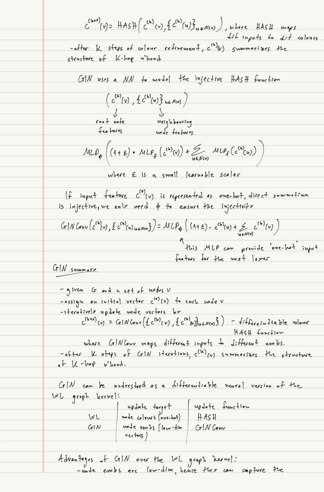
Instead of doing the 3rd homework which is related to createing and training a GNN, I decided to continue with the next theory part, which funny enough is called 'theory of GNNs'. 

Covered topics:
Expressiveness of GNNs, computational graphs, problems with GCN and GraphSAGE's mean and max-pooling, designing the most expressive GNN, the Universal Approximation Theorem, Graph Isomorphism Network (GIN)




That is all for today!

See you tomorrow :)

Popular posts from this blog

[Day 182] Learning about feature selection in fraud detection and finding a classifier model with low recall

[미리 공부] 기초 통계 복습 (Day 1는 1월2일)

[Day 1] Machine Learning course by caltech